Смотреть видео: Карта подключения отопления в новосибирске график 2024



Карта подключения отопления в новосибирске график 2024

Карта подключения отопления в новосибирске график 2024 Власти опубликовали график подключения многоквартирных домов Улан-Удэ к отоплени
Власти опубликовали график подключения многоквартирных домов Улан-Удэ к отоплени
Карта подключения отопления в новосибирске график 2024 Когда дадут отопление в архангельске 2024
Когда дадут отопление в архангельске 2024
Карта подключения отопления в новосибирске график 2024 Где в Екатеринбурге не подключили тепло к 26 сентября 2022 года - 26 сентября 20
Где в Екатеринбурге не подключили тепло к 26 сентября 2022 года - 26 сентября 20
Карта подключения отопления в новосибирске график 2024 В Новосибирске сегодня отключат электричество и воду в общей сложности у 1010 зд
В Новосибирске сегодня отключат электричество и воду в общей сложности у 1010 зд
Карта подключения отопления в новосибирске график 2024 Появился график подачи тепла в Сосногорске в сентябре 2019
Появился график подачи тепла в Сосногорске в сентябре 2019
Карта подключения отопления в новосибирске график 2024 Свыше 30 многоэтажек остались без тепла на площади Маркса в Новосибирске - МК Но
Свыше 30 многоэтажек остались без тепла на площади Маркса в Новосибирске - МК Но
Карта подключения отопления в новосибирске график 2024 Более 100 многоквартирников в Новосибирске остались 6 октября без отопления из-з
Более 100 многоквартирников в Новосибирске остались 6 октября без отопления из-з
Карта подключения отопления в новосибирске график 2024 Когда включат отопление в орле 2024
Когда включат отопление в орле 2024
Карта подключения отопления в новосибирске график 2024 Какие улицы последними получат тепло в Новосибирске: график подключения отоплени
Какие улицы последними получат тепло в Новосибирске: график подключения отоплени
Карта подключения отопления в новосибирске график 2024 Когда отключают отопление в волжске 2024
Когда отключают отопление в волжске 2024
Карта подключения отопления в новосибирске график 2024 Когда подключат отопление 2024
Когда подключат отопление 2024
Карта подключения отопления в новосибирске график 2024 График включения отопления 2024
График включения отопления 2024
Карта подключения отопления в новосибирске график 2024 Сегодня в Усинске начинается отопительный сезон. Публикуем график подачи отоплен
Сегодня в Усинске начинается отопительный сезон. Публикуем график подачи отоплен
Карта подключения отопления в новосибирске график 2024 Подключение отопления в новосибирске график 2024
Подключение отопления в новосибирске график 2024
Карта подключения отопления в новосибирске график 2024 Новости, интервью, выступления Официальный сайт администрации города Шарыпово
Новости, интервью, выступления Официальный сайт администрации города Шарыпово
Карта подключения отопления в новосибирске график 2024 С 15 сентября "Т Плюс" начинает включать отопление в жилых домах Кирова - МК Кир
С 15 сентября "Т Плюс" начинает включать отопление в жилых домах Кирова - МК Кир
Карта подключения отопления в новосибирске график 2024 График включения отопления 2024
График включения отопления 2024
Карта подключения отопления в новосибирске график 2024 Подключение отопления в новосибирске график 2024
Подключение отопления в новосибирске график 2024
Карта подключения отопления в новосибирске график 2024 Появился график подачи тепла в Сосногорске в сентябре 2019
Появился график подачи тепла в Сосногорске в сентябре 2019
Карта подключения отопления в новосибирске график 2024 В Новосибирске СГК опубликовала график подключения отопления в домах
В Новосибирске СГК опубликовала график подключения отопления в домах
Карта подключения отопления в новосибирске график 2024 В Тюмени начался отопительный сезон: когда в вашем доме появится отопление - 14–
В Тюмени начался отопительный сезон: когда в вашем доме появится отопление - 14–
Карта подключения отопления в новосибирске график 2024 График включения отопления 2024
График включения отопления 2024
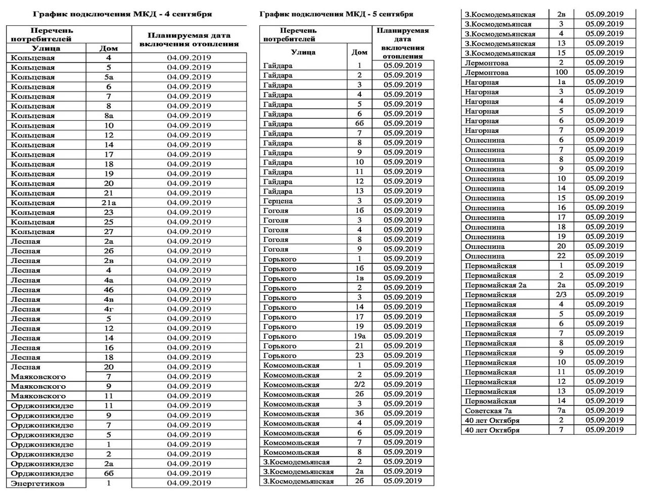
Карта подключения отопления в новосибирске график 2024 СГК опубликовала карту подключения домов к отоплению в Новосибирске Десять дней
СГК опубликовала карту подключения домов к отоплению в Новосибирске Десять дней
Карта подключения отопления в новосибирске график 2024 Старт отопительного сезона 2023-2024 в Бердске. График подключения жилья Тренды
Старт отопительного сезона 2023-2024 в Бердске. График подключения жилья Тренды
Карта подключения отопления в новосибирске график 2024 График подачи отопления новосибирск
График подачи отопления новосибирск
Карта подключения отопления в новосибирске график 2024 В Екатеринбурге начался отопительный сезон, 12 сентября 2022 года
В Екатеринбурге начался отопительный сезон, 12 сентября 2022 года
Карта подключения отопления в новосибирске график 2024 Полный график включения отопления в Новосибирске 2021: даты и сроки - МК Новосиб
Полный график включения отопления в Новосибирске 2021: даты и сроки - МК Новосиб
Карта подключения отопления в новосибирске график 2024 В Новосибирске опубликован график подключения отопления в жилых домах - sib.fm
В Новосибирске опубликован график подключения отопления в жилых домах - sib.fm
Карта подключения отопления в новосибирске график 2024 Стал известен график подключения тепла в жилых домах Тюмени - улицы, адреса, кар
Стал известен график подключения тепла в жилых домах Тюмени - улицы, адреса, кар
Карта подключения отопления в новосибирске график 2024 Когда дадут тепло в Новосибирске: адреса домов с графиком подключения к отоплени
Когда дадут тепло в Новосибирске: адреса домов с графиком подключения к отоплени